• Home
  • Unser Verein
      • Back
      • Vorstand
      • Satzung
      • Beitrittserklärung
      • Bankverbindung
      • DWZ-Liste
      • Jubiläum 2023
          • Back
          • Überblick
          • Frauen-Open
          • Spendenbrett
          • Bilder vom Svane-Simultan
          • Bilder von der DVM 2023
      • Förderverein
          • Back
          • Allgemeines
      • LSV Jugend Vorstellung
  • Aktuelles
      • Back
      • Aktuelle Berichte
      • Termine
      • Instagram
      • Links
      • ELO-Turnierserie 2025
      • ELO-Turnierserie 2025 - Anmelden
  • Jugend
      • Back
      • Anmeldung Lübecker DWZ Jugendcup
      • Anmeldung Kinderpokal
      • Training
          • Back
          • Grundsätzliches zum Training
          • Trainer
          • Ansprechpartner für Probetraining
          • Informationsveranstaltungen
      • Turniere
          • Back
          • LSV-Turniere
          • Externe Turniere
          • Mannschaftsturniere
      • Übersicht Jugendarbeit
          • Back
          • Projekt "Jugendarbeit 2.0"
          • Förderung jugendliches Ehrenamt
  • Turniere
      • Back
      • Monatsblitz
      • Jugendturniere
      • Jugend Grand-Prix
      • 17. Kinderpokalserie
      • Upload Dokumente LJEM 2024
  • Geschichte
      • Back
      • Ehrentafel
      • Vorstandshistorie
      • Ehrungen
      • Vorstand 2024



Upload Dokumente LJEM

Hinzufügen
  • Gruppieren
    • Kein
    • id
    • Vorname
    • Nachname
    • Upload LSV Dokumente
    • Upload LSV Dokumente
    • Upload LSV Dokumente
    • Upload LSV Dokumente
    • Upload LSV Dokumente
  • id Vorname Nachname Upload LSV Dokumente Upload LSV Dokumente Upload LSV Dokumente Upload LSV Dokumente Upload LSV Dokumente
    Keine Daten
    1 Andre Petrow
    Bearbeiten Ansehen
    2 Mark Muradyan
    Bearbeiten Ansehen
    3 Bina Muradyan
    Bearbeiten Ansehen
    4 Mane Muradyan
    Bearbeiten Ansehen
    5 Ida Kutz
    Bearbeiten Ansehen
    6 Henning Kutz
    Bearbeiten Ansehen
    7 Paul Kutz
    Bearbeiten Ansehen
    8 Finn Wachruschew
    Bearbeiten Ansehen
    9 Mavi Solar
    Bearbeiten Ansehen
    10 Erik Fiete Meinke
    Bearbeiten Ansehen
    11 Max Alexander Sooß
    Bearbeiten Ansehen
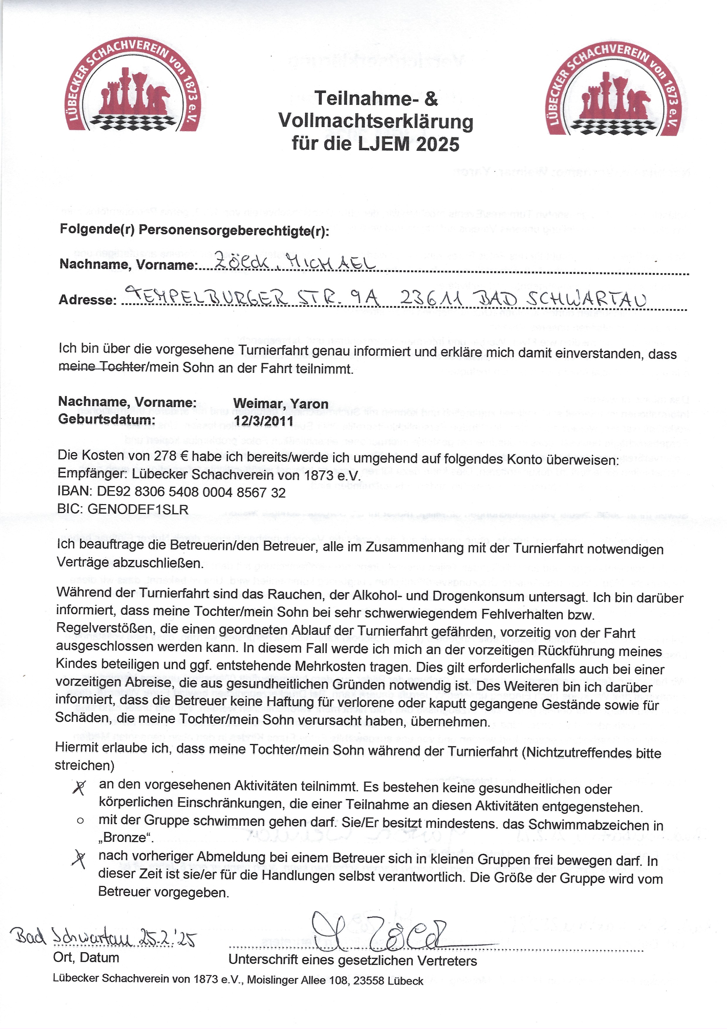
    12 Yaron Leopold Weimar Yaron_Weimar_I.jpeg Yaron_Weimar_II.jpeg Yaron_Weimar_III.jpeg
    Bearbeiten Ansehen
    13 Daniil Levitan
    Bearbeiten Ansehen
    14 Alfred Hellenbroich
    Bearbeiten Ansehen
    15 Hanno Hellenbroich
    Bearbeiten Ansehen
    16 Helene Hellenbroich
    Bearbeiten Ansehen
    17 Nicole Hellenbroich
    Bearbeiten Ansehen
    18 Samuel Borukhson
    Bearbeiten Ansehen
    19 Samuel Borukhson
    Bearbeiten Ansehen
    20 Benjamin Joel Borukhson
    Bearbeiten Ansehen
    21 Ruben Engels
    Bearbeiten Ansehen
    22 Ida Rosin
    Bearbeiten Ansehen


    © Lübecker Schachverein 2014 - 2026
    • Impressum
    • Datenschutzerklärung
    • Archiv
    • Neuer Beitrag